Global searching is not enabled.
Skip to main content
Lesson

GLB dan GLBB

Gerak adalah perubahan posisi suatu benda terhadap titik acuan. Titik acuan sendiri didefinisikan sebagai titik awal atau titik tempat pengamat. Gerak bersifat relatifartinya gerak suatu benda sangat bergantung pada titik acuannya. Benda yang bergerak dapat dikatakan tidak bergerak, sebagai contoh meja yang ada di bumi pasti dikatakan tidak bergerak oleh manusia yang ada di bumi. Tetapi bila matahari yang melihat maka meja tersebut bergerak bersama bumi mengelilingi matahari.

Contoh lain gerak relatif adalah B menggedong A dan C diam melihat B berjalan menjauhi C. Menurut C maka A dan B bergerak karena ada perubahan posisi keduanya terhadap C. Sedangkan menurut B adalah A tidak bergerak karena tidak ada perubahan posisi A terhadap B. Disinilah letak kerelatifan gerak. Benda A yang dikatakan bergerak oleh C ternyata dikatakan tidak bergerak oleh B. Berdasarkan percepatannya gerak dibagi menjadi 2:

  1. Gerak beraturan adalah gerak yang percepatannya sama dengan nol (a = 0) atau gerak yang kecepatannya konstan.
  2. Gerak berubah beraturan adalah gerak yang percepatannya konstan (a = konstan) atau gerak yang kecepatannya berubah secara teratur.

Gerak Lurus Beraturan (GLB)

Gerak lurus beraturan adalah gerak gerak benda yang lintasannya lurus dan kecepatannya konstan (tetap). Contoh gerak GLB adalah mobil yang bergerak pada jalan lurus dan berkecepatan tetap.

Persamaan yang digunakan pada GLB adalah sebagai berikut:

v = x/t

Keterangan :    x adalah jarak atau perpindahan (m)

                       v adalah kelajuan atau kecepatan (m/s)

                       t adalah waktu yang dibutuhkan (s)

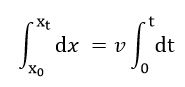
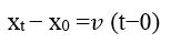
Bila kecepatan partikel konstan, maka percepatannya nol. Untuk kasus ini posisi partikel pada waktu t dapat diketahui melalui integrasi persamaan.

dx = v dt

Yang bila diintegralkan dari saat awal t0 dengan posisi x 0 ke saat akhir t dengan posisi x t.